1. Khái quát chung
Đường dây là phần tử dài nhất trong lưới điện nên thường bị sét đánh và chịu tác dụng của quá điện áp khí quyển. Bảo vệ chống sét trên đường dây tải điện đóng vai trò quan trọng trong quá trình truyền tải và phân phối điện năng. Khi sét đánh vào đường dây tải điện trên không (ĐDK), xuất hiện quá điện áp (QĐA) đặt lên cách điện và QĐA lan truyền đi dưới dạng sóng. QĐA có thể làm hư hỏng cách điện đường dây, gây phát sinh hồ quang duy trì dẫn tới sự cố ngắn mạch, làm gián đoạn quá trình làm việc bình thường của hệ thống điện, hoặc lan truyền vào trạm biến áp, làm hư hỏng cách điện hoặc lão hóa cách điện của các thiết bị trong trạm. Vấn đề bảo vệ chống sét bao gồm chống sét đánh trực tiếp và chống QĐA lan truyền. Để hạn chế tác hại của sét, người ta treo dây chống sét (DCS) trên ĐDK (kết hợp nối đất chân cột) nhằm giảm xác suất sét đánh thẳng vào dây pha để hạn chế biên độ QĐA khí quyển, đồng thời đặt chống sét van trước trạm và tăng cường bảo vệ đoạn đường dây tới trạm biến áp. Tuy nhiên vấn đề bảo vệ chống sét cho ĐDK vẫn giữ nguyên tính thời sự và cấp thiết do tính chất phức tạp của hoạt động giông sét, đặc biệt là ở nước ta, nơi có mật độ sét cao.
2. Các phương pháp nâng cao khả năng chống sét của đường dây truyền tải.
Đường dây là phần tử dài nhất trong lưới nên thường bị sét đánh và chịu tác dụng của quá điện áp khí quyển. Quá điện áp không những chỉ gây nên phóng điện trên cách điện đường dây mà còn truyền sóng vào trạm biến áp gây nên sự cố phá hoại cách điện trong trạm. Do đó khi giải quyết vẫn đề bảo vệ chống sét cho đường dây phải có quan điểm tổng hợp nghĩa là phải có kết hợp chặt chẽ với việc chống sét ở trạm, đặc biệt là khoảng đường dây gần trạm (đoạn tới trạm) phải được bảo vệ cẩn thận vì khi sét đánh ở khu vực này sẽ đưa vào trạm các quá điện áp với tham số lớn, rất nguy hiểm cho cách điện của trạm. Quá điện áp khí quyển do sét đánh thẳng lên đường dây hoặc sét đánh xuống mặt đất gần đó và gây nên quá điện áp cảm ứng trên đường dây. Có thể thấy trường hợp đầu nguy hiểm nhất vì đường dây phải chịu đựng toàn bộ năng lượng của phóng điện sét, do đó nó được chọn để tính toán chống sét. Thông số đặc trưng cho khả năng chịu sét của đường dây là suất cắt đường dây, tức là số lần cắt trên đường dây có chiều dài 100 km trong thời gian một năm. Trước hết ta xác định số lần cắt trên tuyến đường dây trên cơ sở kết quả nghiên cứu. QĐA khí quyển có thể là do sét đánh thẳng lên đường dây hoặc sét đánh xuống mặt đất gần đó và gây nên QĐA cảm ứng trên đường dây. Đối với đường dây 220 kV QĐA cảm ứng không lớn, ít gây ra sự cố nên có thể bỏ qua khi tính toán suất cắt. Do đó, ta chỉ quan tâm đến số lần sét đánh thẳng lên đường dây.
Với độ treo cao trung bình của dây trên cùng (dây chống sét) là h, đường dây sẽ thu hút về phía mình các phóng điện của sét trên giải đất có chiều rộng 6h và chiều dài bằng chiều dài đường dây L, do đó số lần sét đánh thẳng lên đường dây hằng năm là:
.png)
Trong đó:
ns – mật độ sét khu vực đường dây đi qua, lần/km2*năm
h tính bằng m, L tính bằng km.
Số lần sét đánh thẳng lên đường dây được phân bố như sau:
- Số lần sét đánh vòng qua DCS vào dây dẫn
.png)
να – xác suất sét đánh vòng qua DCS vào dây dẫn.
- Số lần sét đánh đỉnh cột hoặc khu vực gần đỉnh cột:
Trong đó: hc – chiều cao cột điện, l – chiều dài khoảng vượt.
- Số lần sét đánh trong khoảng vượt:
Theo kết quả thực nghiệm ta thường lấy số lần sét đánh đỉnh cột và số lần sét đánh trong khoảng vượt bằng nhau Nc = Nl, do đó:
.png)
Vì tham số của phóng điện sét (biên độ dòng điện Is và độ dốc của dòng điện sét a) có thể có nhiều giá trị khác nhau, do đó không phải tất cả các lần có sét đánh lên đường dây đều dẫn đến phóng điện trên cách điện. Để xảy ra phóng điện, QĐA khí quyển phải có trị số lớn hơn mức cách điện xung kích của đường dây, khả năng này được biểu thị bởi xác suất phóng điện νpd. Do đó, số lần xảy ra phóng điện trên cách điện do sét đánh đỉnh cột là:

Vì thời gian tác dụng của QĐA khí quyển rất ngắn, khoảng 100 μs, trong khi thời gian làm việc của hệ thống bảo vệ rơle thường không bé quá một nửa chu kỳ tần số công nghiệp, tức là 10 ms nên không phải trường hợp phóng điện xung kích nào cũng làm nhảy máy cắt điện. Phóng điện xung kích chỉ gây ra cắt điện đường dây khi tia lửa phóng điện xung kích trên cách điện chuyển thành hồ quang duy trì bởi điện áp làm việc của lưới điện. Xác suất chuyển từ tia lửa phóng điện xung kích thành hồ quang η phụ thuộc vào nhiều yếu tố, trong đó yếu tố quan trọng nhất là gradien của điện áp làm việc dọc theo đường phóng điện. Trị số gradien càng lớn thì việc duy trì điện dẫn của khe phóng điện và chuyển thành hồ quang càng thuận lợi.
Số lần cắt điện do sét đánh vào đỉnh cột hằng năm của đường dây là:

Suất cắt đường dây (số lần cắt trên đường dây có chiều dài 100 km trong thời gian một năm) là:

Xuất phát từ việc tính toán suất cắt do sét đánh vào đường dây người ta đưa ra các phương pháp nâng cao khả năng chống sét của các đường dây truyền tải được sử dụng rộng rãi trong khu vực và trên thế giới bao gồm các phương pháp chính sau:
- Treo dây chống sét.
- Giảm điện trở nối đất của cột.
- Giảm góc bảo vệ a.
- Đặt chống sét van đường dây.
- Tăng cường cách điện đường dây.
2.1. Treo dây chống sét
Dây chống sét làm nhiệm vụ bảo vệ chống sét đánh thẳng cho dây dẫn (dây pha) nhưng chưa phải là an toàn tuyệt đối mà vẫn còn khả năng sét đánh vào dây dẫn. Trong thời gian gần đây, ở nhiều nước ngày càng sử dụng rộng rãi đường dây hai lộ đi trên cùng cột điện, chiều cao cột có thể tới 40÷ 50m. Kinh nghiệm vận hành của các đường dây này cho thấy xác suất sét đánh vòng qua dây chống sét vào dây dẫn (Ja) không những chỉ phụ thuộc vào góc bảo vệ a mà còn tăng theo chiều cao cột điện, xác suất này được biểu thị bởi công thức kinh nghiệm:
.png)
Trong đó: a- góc bảo vệ của dây chống sét (độ); hc- chiều cao cột điện (m)
2.2. Giảm điện trở nối đất cột điện
Dù không xét đến khả năng sét đánh vòng qua dây chống sét vào dân dẫn thì việc bảo vệ bằng dây chống sét cũng không thể đảm bảo có mức chịu sét tuyệt đối. Khi sét đánh vào dây chống sét sẽ gây nên điện áp tác dụng lên cách điện mà phần chủ yếu của nó là điện áp giáng trên bộ phận nối đất cuả cột điện. Nếu dòng điện sét và điện trở nối đất cột điện lớn thì điện áp tác dụng lên cách điện có khả năng vượt quá mức cách điện xung kích của nó và gây nên phóng điện ngược tới dây dẫn. Như vậy dây chống sét phát huy được nhiều hay ít còn tùy thuộc vào tình hình nối đất của cột điện. Ví dụ tính suất cắt do sét đánh vào khoảng vượt dây chống sét như sau:
Lấy với dạng sóng xiên góc. Lúc này trên dây chống sét và mỗi cột sẽ có dòng điện là
. Khi đường dây tải điện bị sét đánh vào khoảng vượt của dây chống sét thì sẽ sinh ra các điện áp là: điện áp tác dụng lên cách điện không khí giữa dây dẫn và dây chống sét và điện áp tác dụng lên cách điện của chuỗi sứ. Nếu các điện áp này đủ lớn thì sẽ gây ra phóng điện trên cách điện làm cắt điện trên đường dây.
+ Suất cắt điện do quá điện áp tác dụng lên cách điện không khí giữa dây dẫn và dây chống sét (ta xét với pha nào có hệ số ngẫu hợp lớn nhất).
.png)
Trong đó:
Kvq là hệ số ngẫu hợp giữa dây dẫn và DCS có kể đến vầng quang.
a: độ dốc dòng điện sét.
l: khoảng vượt của đường dây.
Từ đó ta có thể tính được xác suất phóng điện và tính các giá trị Npđ và npđ.
Trong thiết kế và thi công đường dây, thường chọn khoảng cách giữa các dây đủ lớn để tránh chạm dây nên khả năng xảy ra phóng điện trong trường hợp này ít xảy ra và dù có xảy ra thì xác suất hình thành hồ quang cũng rất nhỏ. Vì vậy suất cắt trong trường hợp này có thể bỏ qua.
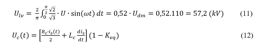
Suất cắt điện do quá điện áp tác dụng lên chuỗi sứ.
Điện áp tác dụng lên chuỗi sứ khi sét đánh vào khoảng vượt của dây chống sét là: Ucđ(t) = Uc(t) + Ulv. Trong đó: Ulv: điện áp làm việc; Uc(t): điện áp tại đỉnh cột.
.jpg)
Với dạng sóng xiên góc xét với thời gian t £tds thì:

Từ công thức (12) ta thấy rằng khi giảm điện trở nối đất của cột đường dây sẽ dẫn đến điện áp tác dụng lên cách điện của đường dây giảm. Đây vẫn được cho là phương pháp hiệu quả nhất để nâng cao khả năng chống sét cho đường dây truyền tải trong khu vực và trên thế giới.
2.3. Giảm góc bảo vệ a
Vì độ treo cao trung bình của dây dẫn thường lớn hơn 2/3 độ treo cao của dây chống sét nên có thể không cần đề cập đến phạm vi bảo vệ mà hiển thị bằng góc bảo vệ a là góc giữa đường thẳng đứng với đường thẳng nối liền dây thu sét và dây dẫn. Có thể tính toán được trị số giới hạn của góc bảo vệ là 310 (tga =0,6) và thực tế thường lấy khoảng 20÷250.
Từ công thức (9) của nội dung treo dây chống sét ta nhận thấy việc giảm góc bảo vệ a sẽ dẫn đến giảm khả năng hay xác suất sét đánh vòng qua dây chống sét vào dây dẫn. Hiện nay trên thế giới đang sử dụng phương pháp giảm suất cắt do sét bằng cách tạo góc bảo vệ âm như sau:
- Các tính toán suất cắt dựa trên giả thiết sét đánh thẳng đứng cho nên về nguyên tắc góc bảo vệ a=0 là không có dây thu sét.
- Góc bảo vệ a càng giảm, dòng sét đánh vào dây dẫn càng nhỏ.
- Luôn tồn tại góc đánh của sét nào đó khác không cho nên cần thực hiện góc bảo vệ âm.
.jpg)
Hình 1- Quan hệ góc bảo vệ a với biên độ dòng điện sét
Hiện nay vẫn đang sử dụng phương pháp tạo góc bảo vệ âm bằng cách điện kiểu V như sau:

Hình 2 – Góc bảo vệ âm bằng cách điện kiểu V
Theo Quy phạm trang bị điện 11-TCN-19-2006: Khoảng cách giữa hai dây pha luôn phải lớn hơn hoặc bằng 5m, khoảng cách giữa dây dẫn và phần không mang điện phải lớn hơn 2m đối với cấp điện áp 220kV. Chiều dài xà tính cả trường hợp lệch do bão. Theo tính toán sơ bộ độ lệch này có thể dao động từ 1÷2m, tùy chiều dài khoảng vượt. Cách điện chữ V có độ lệch gần bằng 0. Có thể tính toán cụ thể nếu khả thi với từng loại kết cấu đường dây va cấp điện áp khác nhau.
2.4. Tăng chiều dài cách điện đường dây
Mục đích: tăng chiều dài chuỗi sứ là tăng đường rò, kéo dài khoảng cách mỏ phóng, tăng dòng điện ngưỡng xảy ra phóng điện đối với cả sét đánh vào đường dây chống sét và dây dẫn.
Cách thực hiện: thêm từ 1 đến 4 bát sứ. (tuy nhiên phải chú ý đảm bảo khoảng cách an toàn tránh hiện tượng phóng điện trong không khí).
Khi tăng chiều dài cách điện đường dây dẫn đến giảm xác suất hình thành hồ quang duy trì h được thực hiện bằng cách giảm cường độ điện trường dọc theo đường phóng điện. Trong trường hợp này gradien điện áp làm việc có thể giảm tới khoảng 0,1÷0,2 kV/m và xác suất hình thành hồ quang chỉ còn 10÷ 20%.
Khi có phóng điện trên cách điện của đường dây, máy cắt có thể bị cắt ra nếu có xuất hiện hồ quang tần số công nghiệp tại nơi phóng điện. xác suất hình thành hồ quang η phụ thuộc vào điện áp làm việc trên cách điện pha của đường dây và độ dài cách điện của đường dây. Có thể xác định η theo bảng 1:
Bảng 1. Xác suất hình thành hồ quang
.jpg)
.png)
Hình 3 – Tăng chiều dài cách điện một mạch trên đường dây hai mạch
2.5. Đặt chống sét van đường dây
Với yêu cầu về độ tin cậy cung cấp điện ngày càng cao, nhằm giảm thiểu các vụ sự cố do quá điện áp khí quyển gây nên, từ những năm đầu thập niên 90 thì chống sét van đường dây với giá cả hợp lý và trọng lượng nhẹ đã được lắp đặt trên đường dây truyền tải điện.
.jpg)
Hình 4- Đặt chống sét van đường dây
Chống sét van được lắp đặt trên dây dẫn của đường điện cáo áp trên không, nhằm giảm rủi ro chọc thủng cách điện do quá điện áp khí quyển (phóng điện sét) và do quá điện áp thao tác.
Chống sét van đường dây dùng để bảo vệ đường dây có nguyên lý hoạt động khác so với hầu hết các kiểu chống sét khác. Đối với chống sét van đường dây, dòng điện sét được dẫn trên dây dẫn. Đối với các trường hợp chống sét khác, dòng điện sét được cách ly khỏi dây dẫn.
Nếu không có chống sét van bảo vệ, khi xảy ra sét đánh trực tiếp vào cột điện hoặc dây chống sét, dòng điện sét sẽ đi qua dây thoát sét xuống đất. Nếu tổng trở nối đất lớn thì điện áp giáng trên tổng trở nối đất cột điện lớn vượt quá khả năng chịu đựng của cách điện dây dẫn, có thể xảy ra hiện tượng phóng điện ngược trên cách điện. Phóng điện ngược: Là hiện tượng xuất hiện hồ quang bắt đầu từ dây nối đất cột điện vòng qua cách điện tới dây pha mang điện. Hiện tượng này có thể xuất hiện khi sét đánh trực tiếp vào cột điện hoặc vào dây chống sét trên không, tại nơi đó có tổng trở đất tương đối cao, khả năng thoát sét kém. Nó được biết đến như hiện tượng phóng hồ quang ngược bởi vì nó có chiều ngược với hồ quang được tiến hành trong điều kiện phòng thí nghiệm. Hiện tượng phóng điện ngược thường kèm theo chọc thủng hoặc làm tổn thương cách điện đường dây. Trong trường hợp này, máy cắt phải hoạt động để loại trừ sự cố.
Ngay lập tức, theo sau quá trình phóng điện ngược là quá trình phóng điện xuôi tần số công nghiệp dọc theo đường dẫn đã bị ion hóa do phóng điện ngược gây nên. Hồ quang tần số công nghiệp này chỉ được dập tắt khi rơle bảo vệ đường dây tác động cắt máy cắt đầu nguồn. Điều này sẽ gây nên một sự cố thoáng qua trên đường dây, nếu cách điện được phục hồi hoặc sự cố vĩnh cửu nếu như cách điện bị phá hủy.
Nếu có một chống sét van được lắp trên pha này thì dòng sét sẽ đi qua chống sét van vào dây dẫn sẽ không có hồ quang do phóng điện ngược gây ra dẫn đến không xuất hiện hiện tượng ion hóa và không xẩy ra phóng điện tần số công nghiệp. Trong các trường hợp sử dụng chống sét van đường dây sẽ ngăn chặn được hiện tượng chọc thủng cách điện và do đó loại trừ các sự cố do quá điện áp khí quyển gây nên.
Tuy nhiên hiện nay vẫn còn tồn tại nhiều vấn đề xung quanh việc xác định vị trí lắp đặt chống sét van và đặt cho pha nào, điện trở nối đất của cột lớn hay bé thì đặt chống sét van.
3. Các giải pháp ngăn ngừa sự cố do sét đã thực hiện tại PTC4
Thực hiện theo chỉ đạo của EVNNPT tại văn bản số 409/EVNNPT-KT+AT ngày 10/02/2023 V/v thực hiện các giải pháp ngăn ngừa sự cố và giảm tổn thất điện năng, Công ty Truyền tải điện 4 đã triển khai các giải pháp ngăn ngừa sự cố do sét bao gồm các hạng mục sau:
- Thực hiện sửa chữa, tăng cường bổ sung thêm sợi tiếp địa; Hệ thống cọc-tia phối hợp, khoảng cách giữa 2 tia > 10m, khoảng cách giữa các cọc trong 01 tia > 5m; khoan giếng tiếp địa; Dùng bột GEM nhằm giảm giá trị điện trở suất của đất ở khu vực đồi núi cao; Sơn chống rỉ, hàn nối tại vị trí tiếp giáp âm-dương, Trong năm 2023 PTC4 thực hiện sửa chữa, thay thế hệ thống nối đất không đảm bảo vận hành cho 1468 vị trí cột, hoàn thành 100% kế hoạch.
- Thực hiện kiểm tra bảo dưỡng vệ sinh thoát sét chân cột, đỉnh cột cho 10598 vị trí cột, hoàn thành 100% trước mùa mưa bão.
- Thực hiện công tác vệ sinh cách điện định kỳ, tăng cường đối với các khu vực có mật độ giông sét cao, khu vực gần biển, gần khu công nghiệp có độ nhiễm bẩn lớn, trong năm 2023 đã thực hiện vệ sinh 6.563 chuỗi cách điện truyền thống và 11.405 chuỗi cách điện composit, hoàn thành 100% kế hoạch.
- Thực hiện lắp kim thu sét đỉnh cột tại các vị trí cột cao trên 50m, vị trí cột nằm trong khu vực có mật độ giông sét lớn. Tính đến 31/12/2023, PTC4 đã thực hiện lắp kim thu sét đỉnh cột cho 5508 trên tổng số 10598 cột, đạt 52%.
- Thực hiện lắp chống sét van (CSV) và điều chuyển CSV: Đến nay PTC4 có tổng cộng 1680 bộ CSV được lắp đặt tại 963 vị trí cột thuộc khu vực có mật độ giông sét cao, các vị trí đặc biệt như trụ vượt sông, trụ vượt thung lũng, trụ có khoảng vượt lớn…
4. Đánh giá hiệu quả các giải pháp ngăn ngừa sự cố do sét và kết quả đạt được trong năm 2023
a. Đánh giá hiệu quả các giải pháp ngăn ngừa sự cố do sét:
Trong năm 2023, PTC4 đã tích cực triển khai một số giải pháp rất hiệu quả trong công tác ngăn ngừa sự cố do sét bao gồm :
- Thực hiện lắp đặt CSV và điều chuyển CSV tại các vị trí phù hợp: trên lưới có tổng cộng 1680 bộ CSV được lắp đặt tại 963 vị trí cột thuộc khu vực có mật độ giông sét cao và các vị trí đặc biệt như trụ vượt sông, trụ vượt thung lũng, trụ có khoảng vượt lớn…
- Theo ghi nhận các đồng hồ của CSV được lắp đặt trên trụ đã đánh giá được số lần sét đánh vào dây dẫn, tỷ lệ các CSV có ghi nhận sét đánh vào dây dẫn không gây sự cố đường dây là 41,37% (695/1680), như vậy mật độ sét đánh vào đường dây là rất lớn.
.jpg)
Thực hiện lắp kim thu sét đỉnh cột tại các vị trí cột cao trên 50m, vị trí cột nằm trong khu vực có mật độ giông sét lớn. Tính đến 31/12/2023, PTC4 đã thực hiện lắp kim thu sét đỉnh cột cho 5508 trên tổng cố 10598 cột, đạt 52%.
Giải pháp giảm góc bảo vệ dây chống sét đường dây 220kV Phú Mỹ - Long Thành, Long Thành – Long Bình, Hàm Thuận – Xuân Lộc và Xuân Lộc – Long Thành đã thay đổi góc bảo vệ chống sét từ 20o xuống 11o , kết quả trong năm 2023 các đường dây này không xảy ra sự cố do sét.
b. Kết quả ngăn ngừa sự cố do sét trong năm 2023
Trong năm 2023, số vụ sự cố nguyên nhân do sét trên lưới điện PTC4 đã giảm so với năm 2022 và 2021 : xảy ra 7 vụ sự cố năm 2023 giảm 65% so với năm 2022 (20 vụ sự cố) và giảm 66,7% so với năm 2021 (21 vụ sự cố).
5. Tham khảo giải pháp ngăn ngừa sự cố do sét
Tham khảo các giải pháp ngăn ngừa sự cố do sét trong tài liệu hội thảo JMCC các năm về quy định góc bảo vệ của dây chống sét, nhận thấy một số đường dây của PTC4 quản lý có góc bảo vệ chống sét khá lớn, cụ thể là :
|
Đơn vị
|
Loại cột
|
Góc bảo vệ
|
|
PLN (Indonesia)
|
- Cột tháp
|
275kV = 50
500kV = 00
|
|
SEB (Malaysia)
|
- Cột tháp
- Cột ống trụ
|
00 cho mọi cấp điện áp
|
|
SESB (Malaysia)
|
- Cột tháp
- Cột ống trụ
|
00 -(-150) cho mọi cấp điện áp
|
|
TNB (Malaysia)
|
- Cột tháp
- Cột ống trụ
|
00 cho mọi cấp điện áp
|
|
EGAT (Thái lan)
|
- Cột tháp
- Cột ống trụ
|
275kV = 50
500kV = 00
|
|
EVNNPT (Việt Nam)
|
- Cột tháp sắt
|
Mạch đơn: 300
Mạch kép: 200
Dự án mới: 00
|
Đối với lưới điện của PTC4 có đường dây 500kV Phú Lâm – Mỹ Tho (đoạn 3 mạch) có xà chống sét (18m) dài hơn xà đỡ dây dẫn (15,6m), góc bảo vệ của dây chống sét là -50 ; đường dây này từ khi đưa vào vận hành năm 2014 đến nay chưa xảy ra sự cố với nguyên nhân do sét.
Đối với khoảng vượt sông Hậu A2-A3 đường dây 220kV Cai Lậy – Trà Nóc thuộc khoảng néo B1-B4: không có dây chống sét, các cột vượt A2, A3 cao 126,45 m có lắp kim thu sét dài 4,0m. Trước năm 2002, khoảng vượt sông này ghi nhận ít nhất 01 lần/ năm có sét đánh vào đường dây. Từ tháng 6/2002, sau khi lắp các bộ chống sét van tại các cột vượt A2, A3 thì số lần sét đánh giảm hẳn. Đến năm 2006, lắp thêm các bộ chống sét van tại các cột néo vượt B1, B4 thì không xuất hiện tình trạng sét đánh vào đường dây tại khoảng vượt này đến thời điểm hiện nay.
Tài liệu tham khảo: Đề tài nghiên cứu khoa học.
“Nghiên cứu các giải pháp giảm sự cố có nguyên nhân do sét trên đường dây truyền tải điện 220kV Thanh Thủy - Hà Giang – Thủy điện Tuyên Quang - Yên Bái - Thái Nguyên”